As the COVID-19 pandemic brought stay-at-home orders and increased economic hardship, food insecurity across the U.S. grew significantly. A new study shows that certain groups experienced more food insecurity during the pandemic than others.
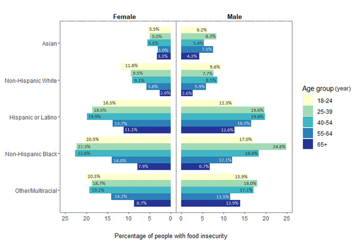
The researchers found that young, non-Hispanic Black males, middle-aged Black females and households with more children were the groups most likely to experience food insecurity. In addition, lower education and income as well as loss of employment were associated with increased food insecurity for all racial, gender and age groups studied.
“Our findings demonstrate that disproportionate food insecurity existed during the COVID-19 pandemic and was likely exacerbated by multiple risk factors,” said Zhongqi Fan, a graduate student at Tufts University Friedman School of Nutrition Science and Policy and the study’s lead author. “It also illustrates the persistent need for tailored food security initiatives to assist these vulnerable populations before, during and after a health crisis.”
For the study, the investigators examined publicly available data from 884,695 people who participated in the U.S. Census Bureau’s Household Pulse Survey between January 6 and July 5, 2021. The survey asked heads of households to select a statement that best described their food weekly intake and assessed a variety of socioeconomic factors.
The researchers considered a person food insecure if “sometimes not enough to eat” or “often not enough to eat” was selected on the survey. They then estimated the national level of food insecurity and compared food security differences between sociodemographic and socioeconomic subgroups.
The analysis identified several groups who were more vulnerable to food insecurity. For example, almost 25% of non-Hispanic Black male study participants 25 to 39 years old experienced food insecurity as did just under 23% of non-Hispanic Black females ages 40-54. Although the researchers expected to see food insecurity decrease after the 2020 COVID-19 economic stimulus package went into effect, the analysis showed that food insecurity remained high among households across the nation.
The researchers also found the highest rates of non-responses to survey questions regarding food insecurity among the most vulnerable subpopulations, particularly non-Hispanic Black people with the least education who recently become unemployed. This could indicate that food insecurity for these groups is underestimated.
“High non-response rates among hard-to-reach populations demonstrate the complexity of conducting truly representative surveillance using national survey strategies during public health emergencies,” said Fan. “These challenges must be considered to improve representative sampling techniques and to account for data limitations within statistical analyses performed by data analysts.”
The researchers are now working to expand the study to include April 2020 to March 2022 to better understand how prolonged COVID-19 burdens influenced drivers of food insecurity over time. “We plan to examine trends in the prevalence of food insecurity, risk factors most influencing insecurity over time and the effects of stimulus packages and health policies such as mass testing and vaccination,” said Fan.
The researchers also plan to explore differences in food insecurity by geographic locations to understand how federal health resources could be better mobilized to places that face persistent or emerging food insecurity.

